Solve the integrals in following exercises.
The best Maths tutors available
Exercise 1

Solution

Exercise 2

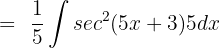
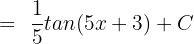
Solution


Exercise 3

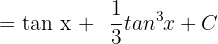
Solution


Exercise 4

Solution




Exercise 5

Solution


Exercise 6

Solution



Solve the integrals in following exercises.
Hi,
what is the integral of ;
(k ^ -u x e ^ u)
Thanks,