Parallelogram Definition
| Description | |
| Parallelogram | A classification that can be used to identify shapes |
As you can see, the word parallelogram is simply a term we can use to identify families of shapes. If a shape falls under this category, it means that it has specific properties. You can think of this classification as a set of rules, or ‘properties’.
| Property 1 | Opposite sides are parallel |
| Property 2 | Opposite sides are equal |
| Property 3 | Opposite angles are equal |
If a shape follows these rules, they can be called a parallelogram. If they break one of these rules, they are not parallelograms. As you’ll see, a rhombus is a parallelogram.
Congruent
Let’s take a look at the term congruent, which will help us define what a rhombus is. Take a look at the definition below.
| Definition | |
| Congruent Sides | Equal in length |
When two sides, or lines, are congruent it simply means that they are the same size. When two sides are congruent, they are marked by matching lines. Let’s take a look at a couple of examples.

| A | B | C |
| Congruent | Congruent | Not Congruent |
Perpendicular Bisector
The next two terms you need to know in order to define a rhombus are perpendicular and bisector. While you can use these two separately, you can also have a situation where you have a perpendicular bisector. Let’s start with the first term.
| Definition | |
| Perpendicular | When two line segments or lines are perpendicular, they intersect (cross) each other at a 90 degree angle. |
| Angle | An angle is the curve or bend that lines make when they meet or cross each other. |

When two lines meet or cross each other, they form an angle. Angles are usually measured in degrees. When two lines cross each other at a 90 degree angle, they are called perpendicular. Let’s take a look at bisectors.
| Definition | |
| Bisector | A line or line segment that crosses another line or line segment at their midpoint. |
| Midpoint | The midpoint is the exact middle, or middle point, of a line or line segment. |

As you can see, the line segments on either side of the midpoint are the same length. When you put these two terms together, you get perpendicular bisectors.
| Definition | |
| Perpendicular Bisector | Two lines that cross each other at their midpoints and at a 90 degree angle. |

Rhombus Property 1: Congruent Sides
A rhombus has congruent sides. Let’s take a look at what this means. Below is an image of a rhombus.

As you can see from the notation, each of the sides are equal to each other. When two sides are congruent, you can have the following notation.

| Notation | Meaning |
![]() | A line segment from point A to point B |
![]() | Is congruent to |
What this means is that side AB is congruent to BC. Because we have four sides, we can write the congruent sides as the following.
| Notation | Meaning |
![]() | All sides are congruent |
Rhombus Property 2: Parallel Opposite Sides
A rhombus has opposite sides that are parallel. Let’s take a look at what this means.
| Definition | |
| Parallel | Lines that never meet or cross and are always the same distance from each other. |
| Opposite sides | The line that is on the opposite side of the shape. |


| Notation | Meaning |
| || | Is parallel to |
Let’s take a look at how we can use this notation to say that opposite sides of a rhombus are parallel.
| Notation | Meaning |
![]() | AB is parallel to CD |
![]() | BC is parallel to DA |
Rhombus Property 3: Diagonal Perpendicular Bisectors
We’ve already seen the definition of perpendicular bisectors, but what exactly are diagonals? Let’s take a look at the definition.
| Definition | |
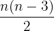
| Diagonal | The line segment that goes from one corner of the shape to the other corner. This does not include the actual sides of the shape. |
| Formula | ![]() |
When a shape has
number of sides, you can find out how many diagonals it has. Because we know a rhombus has 4 sides, it has 4 divided by 2, or 2, diagonals. These diagonals are perpendicular bisectors, meaning they cross each other at their midpoints and at 90 degrees.

The notation of a 90 degree angle is just a square where that angle is.
Perimeter of a Rhombus
You can easily find the perimeter of a triangle using the first property of a rhombus, which is that all sides are congruent.

| s | The length of a side |
| P | Notation for the perimeter |
| P = 4*s | The perimeter is s+s+s+s, or 4 times s, since all sides are equal |
Area of a Rhombus
The area of a rhombus is a bit tricky. This is because, in order to find the area of a rhombus, you have to know the height of the rhombus. The height of the rhombus is not the length of the side but rather the length from the topmost to the bottom most side.

To find the area, simply follow the following formula.
| s | The length of a side |
| A | Notation for the area |
| A = h*s | The area is the height and the length of the side |
Summarise with AI:















Hi Emma nice to meet u I love reading and solving mathematics problem