Chapters
At this point, you have a clear concept of what are planes and vectors. Plane do have equations of their own but how these equations are constructed? That is the real question here. These equations are formed using the primary coordinates and vectors. These vectors are drawn from the coordinates to these planes and with the help of vectors, we came up with plane equations.
Vector Equation of the Plane
To determine the equation of a plane in 3D space, a point P and a pair of vectors that form a basis (linearly independent vectors) must be known.

The point P belongs to the plane
if the vector
is coplanar with the vectors
and
.
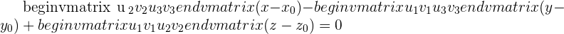
However, the vector
is also formed by two vectors from x,y, and z coordinates. This vector is formed from the vector
and
.
Let's check the coordinate form.

Parametric Equations of the Plane
To solve these vectors, we will need to make parametric equations. These parametric equations can be solved easily using the matrix method, which we will teach you in upcoming headings.
Cartesian Equation of the Plane
A point is in the plane
if the system has the solution:
The values are given as:
Intercept Form

,
and
.
Examples
1.Find the equations of the plane that pass through point
and their direction vectors are:
and
.
2.Find the equations of the plane that pass through points
and
and contains the vector
.
3.Find the equations of the plane that pass through points
,
and
.
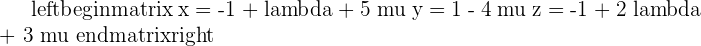
4. π is the plane of parametric equations:
Confirm whether the points
and
belong to this plane.
5.Find the equation of the plane in intercept form that passes through the points
,
and
.
Divide by
, and the equation is obtained:
6.Find the equation of the plane that passes through a point
and contains the line with the equation:
From the equation of the line, a second point and the vector
is obtained.
7.Find the equation of the plane that passes through the points
and
and is parallel to the line:
8.Given the lines:
Determine the equation of the plane that contains the line r and is parallel to the line s.

Summarise with AI:









Hi Emma nice to meet u I love reading and solving mathematics problem