The complete GCSE revision guide to area formulas — squares, rectangles, triangles, parallelograms, rhombuses, trapeziums, circles and sectors. Includes worked examples, practice questions and exam technique advice.
Knowing the area formula for all shapes is one of the most reliable sources of marks at GCSE. These formulas appear in every series of papers, from straightforward substitution questions to multi-step composite area problems. This guide covers every shape tested at KS3 and GCSE, tells you which formulas are given on the formula sheet and which must be memorised, and gives you practice questions with full mark-scheme solutions.
Learning Objectives
By the end of this guide you should be able to:
- State the area formula for a square, rectangle, triangle, parallelogram, rhombus, trapezium, circle and sector from memory (except where noted as formula-sheet items)
- Substitute given measurements correctly into each formula and calculate the area
- Identify the correct formula to use when a diagram shows an unnamed or composite shape
- Find the area of a sector of a circle, given the radius and angle in degrees (GCSE Higher)
- Calculate the area of a composite shape by splitting it into simpler parts or subtracting one area from another (GCSE Higher)
What Is Area?
The area of a shape is the amount of two-dimensional space it occupies. Area is always measured in square units: mm², cm², m², km², and so on. A square unit is simply a square with side length 1 unit, and the area of any shape tells you how many of those unit squares could fit inside it.
This is worth pausing on, because a common source of errors at GCSE is forgetting to square the units. If you measure lengths in centimetres, your area must be in cm². If the question gives a diagram in metres, the area is in m². Mixing units — for example, using one side in cm and another in m — is one of the most frequent mistakes examiners report.
Always check that all lengths are in the same unit before substituting into an area formula. If a rectangle is 2.5 m wide and 80 cm long, convert first: 80 cm = 0.8 m, so the area is 2.5 × 0.8 = 2 m². Writing the answer as "2 cm²" or omitting units entirely loses the accuracy mark.
Quick-Reference: Area Formula for All Shapes
The table below summarises every area formula covered in this guide. Use it as a revision checklist — the "memorise?" column tells you what the examiner expects you to know without a formula sheet.
| Shape | Formula | Level | Memorise? |
|---|---|---|---|
| Square | ![]() | KS3 | Yes |
| Rectangle | ![]() | KS3 | Yes |
| Triangle | ![]() | KS3 GCSE Foundation | Yes |
| Parallelogram | ![]() | GCSE Foundation | Yes |
| Rhombus | ![]() | GCSE Higher | Yes |
| Trapezium | ![]() | GCSE Foundation GCSE Higher | Given on formula sheet |
| Circle | ![]() | GCSE Foundation GCSE Higher | Given on formula sheet |
| Sector | ![]() | GCSE Higher | Yes — not on formula sheet |
| Annulus (ring) | ![]() | GCSE Higher | Derived — understand the method |
All formulas above appear in the AQA GCSE Mathematics specification (8300), Edexcel GCSE Mathematics (1MA1) and OCR GCSE Mathematics (J560). Sector area and annulus calculations are Higher tier only on all three boards.
Area of a Square
A square has four equal sides and four right angles. If the side length is
, the area is simply
multiplied by itself.
where
is the side length.
The notation
is the reason we call area units "square" units — squaring the side length of a unit square gives exactly one unit of area.
Area of a Rectangle
A rectangle has two pairs of equal sides and four right angles. Label the longer side the length
and the shorter side the width
(either way round gives the same product).
where
is the length and
is the width.
A square is a special case of a rectangle where
, which is why both formulas give the same result:
.
Area of a Triangle
The area of a triangle is half the area of the rectangle that would enclose it. This works for any triangle — right-angled, isosceles, scalene, or obtuse.
where b is the base and h is the perpendicular height — the height measured at right angles to the base, not the slant side.
Perpendicular height, not slant height. In a non-right-angled triangle, the height (h) in the formula is the perpendicular distance from the base to the opposite vertex. If the diagram shows a slant side, that is not h. This is the single most common error in triangle area questions — using the wrong measurement loses the method mark.
This formula must be memorised — it is not provided on the GCSE formula sheet for AQA, Edexcel, or OCR.
Area of a Parallelogram
A parallelogram has two pairs of parallel sides. Unlike a rectangle, its sides are not perpendicular to each other, which is why you cannot simply multiply adjacent side lengths. You need the perpendicular height.
where b is the base and h is the perpendicular height (measured at right angles to the base).
The reasoning here is geometric: any parallelogram can be rearranged into a rectangle with the same base and the same perpendicular height. That rectangle has area bh, so the parallelogram does too.
Slant side ≠ height. In a parallelogram, the slant side is not the perpendicular height. If a question gives you the slant side length but not the height, you will need the Pythagorean theorem to find h before you can use the area formula.
Area of a Rhombus
A rhombus is a parallelogram with four equal sides. It has two diagonals that bisect each other at right angles. The area can be calculated using either the parallelogram formula (base × perpendicular height) or the diagonal formula below — both give the same result.
where
and
are the lengths of the two diagonals.
This formula arises because the two diagonals divide the rhombus into four right-angled triangles. Each triangle has legs of
and
, so the total area is
.
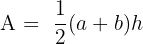
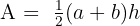
Area of a Trapezium
A trapezium (American English: trapezoid) has exactly one pair of parallel sides, called the parallel bases. Label them
and
, and let
be the perpendicular distance between them.
where
and
are the lengths of the two parallel sides, and
is the perpendicular height between them.
This formula is provided on the AQA, Edexcel, and OCR GCSE formula sheet.
Even though the trapezium formula is on the formula sheet, you must still know how to identify which measurements to substitute. The two parallel sides go in as
and
; the non-parallel sides and the slant height are irrelevant to this formula.
Area of a Circle
A circle is defined as the set of all points equidistant from a fixed centre point. The distance from the centre to the edge is the radius
. The distance across the circle through the centre is the diameter
.
where
is the radius of the circle.
This formula is provided on the AQA, Edexcel, and OCR GCSE formula sheet.
Radius vs diameter. If a question gives you the diameter, halve it before squaring. A very common error is substituting the diameter directly into
, which gives an area four times too large. Always identify whether the measurement given is a radius or a diameter before substituting.
Questions will often ask for an exact answer in terms of
(for example,
cm²) rather than a decimal. This is indicated by phrases such as "give your answer in terms of
" or "leave your answer in exact form." In these cases, do not press the
button — write the coefficient followed by
.
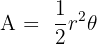
Area of a Sector
A sector is a "slice" of a circle, bounded by two radii and the arc between them. The angle at the centre,
(theta), determines what fraction of the full circle the sector represents.
where
is the angle of the sector in degrees and
is the radius.
This formula is not provided on the GCSE formula sheet — it must be memorised.
The logic is straightforward:
is the fraction of the full circle that the sector occupies. A sector of 90° is a quarter circle (
); a sector of 180° is a semicircle. Multiply this fraction by the full circle area
to get the sector area.
A-Level note: At A-Level, the sector area formula is expressed using radians:
, where
is in radians. This is equivalent to the GCSE formula above once the degree-to-radian conversion is applied. GCSE students only need the degree version.
Area of an Annulus (Ring Between Two Circles)
When a smaller circle is removed from the centre of a larger circle, the remaining ring is called an annulus. Its area is simply the area of the outer circle minus the area of the inner circle.
where
is the radius of the outer circle and
is the radius of the inner circle.
This is not a formula to memorise in isolation — it is a specific application of the composite area method (subtracting one area from another), which is the general technique for all composite shape problems.
Worked Examples
A rectangular patio measures 7.5 m by 4 m. Calculate the area of the patio. State the units of your answer.
Use the rectangle area formula: 
(M1 — correct formula with correct substitution)
(A1 — correct answer with correct units)
Both marks require correct units. Writing "30" without "m²" loses the A1 in a two-mark question.
A triangle has a base of 10 cm and a perpendicular height of 6 cm. Calculate the area of the triangle.
Use the triangle area formula: 
(M1 — correct formula, correct values substituted)
(A1 — correct answer)
It does not matter whether you write
or
— both earn M1. The key is that the factor of
must be present.
A parallelogram has a base of 9 cm. Its slant side is 5 cm and the perpendicular height is 4 cm. Calculate the area of the parallelogram.
Identify the correct measurements: base
cm, perpendicular height
cm. The slant side (5 cm) is not used.
(M1 — correct formula with correct base and perpendicular height; M0 if slant side used)
(A1)
The deliberate inclusion of the slant side (5 cm) is a classic GCSE distractor. Examiners include irrelevant measurements to test whether students can identify the perpendicular height.
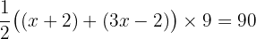
A trapezium has parallel sides of length 8 cm and 14 cm. The perpendicular height between the parallel sides is 5 cm. Calculate the area of the trapezium.
The trapezium formula from the formula sheet: 
Here
cm,
cm,
cm.
(M1 — correct substitution of both parallel sides and height)

(A1)
A common error is to add only one parallel side, i.e. to write
or
. This loses M1. Both parallel sides must appear inside the bracket.
A circle has radius 7 cm. Calculate the exact area of the circle, giving your answer in terms of
.
(M1 — correct substitution of radius, not diameter)
(A1 — exact form required; writing 153.94... loses the A1 here)
When a question says "in terms of
", leave
as a symbol — do not multiply it out. The answer
is exact; any decimal approximation is not.
A circular garden pond has a diameter of 3.6 m. Calculate the area of the pond. Give your answer correct to 3 significant figures.
Diameter = 3.6 m, so radius
m (M1 — halving the diameter to get the radius)
(M1 — correct use of formula with their radius)
m²
(3 s.f.) (A1 — correct to 3 significant figures with units)
Note: if you incorrectly used diameter 3.6 in
, you would get
m², which is four times too large. Examiners see this error frequently.
A sector of a circle has radius 12 cm and an angle of 150°. Calculate the area of the sector. Give your answer correct to 1 decimal place.

(M1 — correct formula with
and
)

(simplifying the fraction is good practice but not required for marks)
cm²
(1 d.p.) (A1 — correct answer to specified accuracy)
The exact value
cm² would also earn full marks if the question had asked for an exact answer. Always re-read the question to see whether an exact or decimal answer is required.
A square tile has side length 20 cm. A circle of radius 8 cm is cut from the centre of the tile. Calculate the area of the remaining material. Give your answer correct to the nearest cm².
Step 1: Area of the square
(M1 — correct area of square)
Step 2: Area of the circle
(M1 — correct area of circle with
)
Step 3: Subtract
cm²
(nearest cm²) (A1 — correct subtraction and correct rounding)
Always subtract the cut-out area last, after computing both areas separately. A follow-through mark (FT) is available at A1 if your areas in Steps 1 and 2 were wrong but your subtraction method is correct.
The area of a trapezium is 90 cm². The two parallel sides have lengths
cm and
cm. The perpendicular height is 9 cm. Find the value of
.
Substitute the given values into the trapezium formula and set equal to 90:
(M1 — correct formula structure with both parallel sides and height)


(M1 — simplifying to a linear equation in
)
(A1 — correct value of
)
Check: parallel sides are
cm and
cm. Area
cm². ✓
Always check your answer by substituting back into the original area formula. This takes 30 seconds and confirms your algebra is correct.
For any composite or shaded area question, your first move should be to identify the shapes involved and decide whether to add or subtract. Write out the method clearly before calculating: examiners award method marks for a correct plan even if the arithmetic is wrong. A clear "Area = large shape − small shape" statement at the start earns M1 in most mark schemes.
Common Mistakes and Exam Tips
Top errors drawn from GCSE examiner reports:
- Using slant height instead of perpendicular height in triangle and parallelogram questions. The perpendicular height is always at 90° to the base.
- Substituting diameter instead of radius into
. Always halve the diameter first. - Forgetting to multiply by
in the triangle formula. This is so common it has its own examiner comment in multiple mark scheme reports. - Omitting or wrong units. Area must be in square units (cm², m², etc.). Writing the number alone without units loses the accuracy mark on many questions.
- Rounding too early in multi-step problems. Keep at least 4 significant figures throughout your working and round only in the final answer.
- Using
or
instead of the calculator value. On a calculator paper, always use the
button. Using 3.14 can cause rounding errors that lose the accuracy mark.
On the non-calculator paper, circle and sector questions will almost always ask for an exact answer in terms of
. Knowing that
and leaving it there is both quicker and more accurate than attempting a mental approximation. Fraction answers like
for a quarter circle are also perfectly acceptable exact forms.
Overview of Key Techniques For Exam Prep
| Technique | Relevant Exercises | Key Elements To Watch Out For |
|---|---|---|
| Direct substitution (simple shapes) | Ex 1 / Ex 2 / Ex 3 / Ex 5 | Identify perpendicular height — not slant side |
| Diameter to radius conversion | Ex 6 | Halve before squaring — not after |
| Sector as fraction of circle | Ex 7 | Angle in degrees for GCSE formula; not on formula sheet |
| Composite area (subtraction) | Ex 8 | Calculate each area separately; subtract last; show all steps |
| Reverse area (form and solve equation) | Ex 9 | Substitute into formula first; simplify; check by substituting back |
Summarise with AI:















Hi Emma nice to meet u I love reading and solving mathematics problem