Chapters
In this article, we will discuss what are trapezoids, their properties, different types, and how to calculate their area and perimeter. Before discussing the types and properties of trapezoids, first, let us define a trapezoid.
A trapezoid is defined as:
The quadrilateral having two parallel sides is known as a trapezoid
Trapezoids, also known as a trapezium, are four-sided geometrical figures. These two-dimensional figures cover some areas and have their perimeters. The bases of trapezoids are the sides that are parallel to each other. On the other hand, the legs or lateral sides of the trapezoids are those sides that are non-parallel. An altitude of a trapezoid refers to the distance between two parallel sides. The shape of the trapezoid resembles that of a square, rectangle, and parallelogram.
There are two schools of thought on the definition of the trapezoid or trapezium. One school says that a trapezoid has only one pair of parallel sides. On the other hand, the other school argues that a trapezoid can have more than one pair of parallel sides. If the argument of the second school is accepted then we can say that a parallelogram is also a trapezoid because it has more than one pair of parallel sides. However, the first school of thought does not consider a parallelogram a trapezoid. Hence, we can say that a trapezoid is a type of quadrilateral. A quadrilateral is a figure having four sides.
In the next section, we will discuss certain properties of the trapezoid.
Properties of Trapezoid
Like other geometrical figures, trapezoids have their unique properties that set them apart from other figures. Some of the important properties of the trapezoid are given below:
- The diagonals and base angles of an isosceles trapezoid are equal.
- The median of the trapezoid will be parallel to the bases and its length will be equal to the average of the length of its bases.
- The point of concurrency of the diagonals of the trapezoid is collinear to the midpoints of two opposite sides.
- Suppose there is a trapezoid with sides a, b, c, and d and its diagonals are p and q. The following equation will be true for this trapezoid:

In the next section, we will discuss different types of a trapezoid.
Types of Trapezoids
Right Trapezoid
A right trapezoid has two right angles. A right trapezoid is shown below:

Isosceles Trapezoid
An isosceles trapezoid has two of its non-parallel sides equal in length. An isosceles trapezoid is shown below:

Scalene Trapezoid
A scalene trapezoid doesn't have equal sides or angles. A scalene trapezoid is shown below:

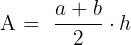
Area of a Trapezoid
The area of a trapezoid is computed by finding the average of two bases and multiplying it with the altitude or height.


Perimeter of the Trapezoid
The perimeter of the trapezoid is equal to the sum of the lengths of its sides. Suppose that a trapezoid has four sides whose lengths are a, b, c, and d. The perimeter of this trapezoid will be given by the following formula:
Perimeter = a + b + c + d
Consider the following examples:
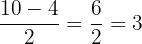
Calculate the area of the following trapezoid:





This is an isosceles trapezoid in which the non-parallel sides are equal in length. The perimeter of a trapezoid is the sum of the lengths of its sides. Hence, the perimeter of the above trapezoid is:
Perimeter = a + b + c + d
= 30 + 40 + 18 + 18
=106 cm
Oblique Side of a Right Trapezoid
We can find the oblique side of the right trapezoid by constructing a right-angled triangle inside the trapezoid and then using a Pythagoras theorem. For instance, consider the following right trapezoid with sides a, b, c, and d.

The oblique side of the above right trapezoid is a. To find the length of this side, we will construct a right-angled triangle within this figure like this:

Here, n = c - b
The length of the side 'a' can be calculated using the Pythagoras theorem.


Consider the following example:
Calculate the length of the oblique side of the following right trapezoid:




Isosceles Trapezoid Height
The height of the following isosceles trapezoid can be calculated using the following formula:
, where 

Consider the following example:
Find the height of the following isosceles trapezoid:





Consider another example below:
The perimeter of the below trapezoid is 50 cm. What is the length of its two non-parallel sides? Calculate the area of the trapezoid.

Perimeter of trapezoid = a + b + c + d
=12 + 18 + c + d
The perimeter of a trapezoid is 50 cm.
50 = 12 + 18 + c + d
50 =30 + c + d
50 - 30 = c + d
20 cm = c + d
Since it is an isosceles trapezoid and the lengths of two non-parallel sides of an isosceles trapezoid are the same. So, the length of each side is equal to 20/2 = 10 cm.
Now, we will calculate the area of the trapezoid. To calculate the area, we must know the height of the trapezoid.

We can calculate h using the Pythagoras theorem. Here, n = 18 - 12 = 6cm. According to the Pythagoras theorem:





Now, we will substitute the values of a = 12 cm, b = 18 cm, and h = 8 cm in the below formula to get the area of the trapezoid:



Summarise with AI:









Hi Emma nice to meet u I love reading and solving mathematics problem