Chapters
- Exercise 1
- Exercise 2
- Exercise 3
- Exercise 4
- Exercise 5
- Exercise 6
- Exercise 7
- Exercise 8
- Exercise 9
- Solution of exercise 1
- Solution of exercise 2
- Solution of exercise 3
- Solution of exercise 4
- Solution of exercise 5
- Solution of exercise 6
- Solution of exercise 7
- Solution of exercise 8
- Solution of exercise 9
Exercise 1
Determine the equations of the coordinate axes and the coordinate planes.
Exercise 2
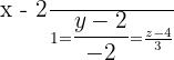
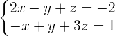
Determine the equation of the plane that contains the lines:
Exercise 3
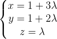
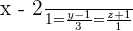
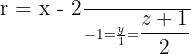
Determine the equation of the plane that contains the point A = (2, 5, 1) and the line:
Exercise 4
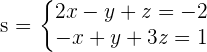
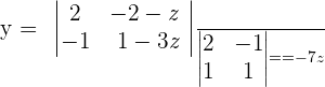
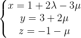
Find the intersecting point between the plane x + 2y − z − 2 = 0, the line determined by the point (1, −3, 2) and the vector
.
Exercise 5
Determine, in intercept form, the equation of the plane that passes through the points A = (2, 0, 0), B = (0, 4, 0) and C = (0, 0, 7).
Exercise 6
π is a plane that passes through P = (1, 2, 1) and intersects the positive coordinate semi-axes at points A, B and C. If ABC is an equilateral triangle, determine the equations of π.
Exercise 7
Find the equation of the plane that passes through the point P = (1, 1, 1) and is parallel to:

Exercise 8
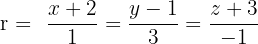
Determine the equation of the plane that contains the line
and is parallel to the line
.
Exercise 9
Calculate the equation of the plane that passes through the point (1, 1, 2) and is parallel to the following lines:
Solution of exercise 1
Determine the equations of the coordinate axes and the coordinate planes.
x - axis O = (0, 0, 0)
= (1, 0, 0)
y - axis O = (0, 0, 0)
(0, 1, 0)
z - axis O (0, 0, 0)
= (0, 0, 1)
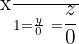
XOY O = (0, 0, 0)
= (1, 0, 0)
= (0, 1, 0)

z = 0
XOZ 0 = (0, 0, 0)
= (1, 0, 0)
= (0, 0, 1)

y = 0
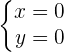
YOZ O = (0, 0, 0)
= (0, 1, 0)
= (0, 0, 1)

x = 0
Solution of exercise 2
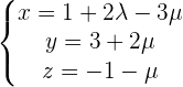
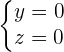
Determine the equation of the plane that contains the lines:

-2x + 3y + 7z + 14 = 0
Solution of exercise 3
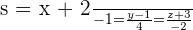
Determine the equation of the plane that contains the point A = (2, 5, 1) and the line:

Solution of exercise 4
Find the intersecting point between the plane x + 2y − z − 2 = 0, the line determined by the point (1, −3, 2) and the vector 

Solution of exercise 5
Determine, in intercept form, the equation of the plane that passes through the points A = (2, 0, 0), B = (0, 4, 0) and C = (0, 0, 7).
Solution of exercise 6
π is a plane that passes through P = (1, 2, 1) and intersects the positive coordinate semi-axes at points A, B and C. If ABC is an equilateral triangle, determine the equations of π.
A = (a, 0, 0) B = (0, b, 0) C = (0, 0, c)
As the triangle is equilateral, the three line segments are equal.
Solution of exercise 7
Find the equation of the plane that passes through the point P = (1, 1, 1) and is parallel to:


Solution of exercise 8
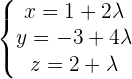
Determine the equation of the plane that contains the line
and is parallel to the line
.
The point A = (2, 2, 4) and the vector
belong to the plane because the line is in the plane.
The vector
is a vector in the plane because it is parallel to the line.

Solution of exercise 9
Calculate the equation of the plane that passes through the point (1, 1, 2) and is parallel to the following lines:

Summarise with AI:









Hi Emma nice to meet u I love reading and solving mathematics problem