Chapters
- Graph the Following Piecewise Functions:
- Exercise 1
- Exercise 2
- Exercise 3
- Exercise 4
- Exercise 5
- Exercise 6
- Exercise 7
- Exercise 8
- Exercise 9
- Solution of exercise 1
- Solution of exercise 2
- Solution of exercise 3
- Solution of exercise 4
- Solution of exercise 5
- Solution of exercise 6
- Solution of exercise 7
- Solution of exercise 8
- Solution of exercise 9
The best Maths tutors available
Graph the Following Piecewise Functions:
Exercise 1
Exercise 2
Exercise 3
Exercise 4
Exercise 5
Exercise 6
Exercise 7
Exercise 8
Exercise 9
Find the analytical expression of the function.

Solution of exercise 1
Graph the piecewise function:

Solution of exercise 2
Graph the piecewise function:


Solution of exercise 3
Graph the piecewise function:


Solution of exercise 4
Graph:

Solution of exercise 5
Graph:


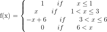
Solution of exercise 6
Graph:

![]() | ![]() | ![]() | ![]() | ![]() | ![]() | ![]() | ![]() |
|---|---|---|---|---|---|---|---|
![]() | ![]() | ![]() | ![]() | ![]() | ![]() | ![]() | ![]() |

Solution of exercise 7
Graph:


Solution of exercise 8
Graph the function:
![]() | ![]() | ![]() | ![]() | ![]() | ![]() | ![]() | ![]() |
|---|---|---|---|---|---|---|---|
![]() | ![]() | ![]() | ![]() | ![]() | ![]() | ![]() | ![]() |

Solution of exercise 9
Find the analytical expression of the function.


Summarise with AI:





















I have math qstn problm
Break even point