Sequences and series appear throughout GCSE and A-Level mathematics, from simple number patterns to modelling real-world growth and decay. This article brings together the key formulas for arithmetic, geometric, Fibonacci, and harmonic sequences in one place, with clear explanations and worked examples for each.
| Sequence Type | nth Term | Sum of First n Terms |
|---|---|---|
| Arithmetic | aₙ = a₁ + (n − 1)d | Sₙ = n/2 × (a₁ + aₙ) |
| Geometric | aₙ = a₁ × r^(n−1) | Sₙ = a₁(1 − rⁿ) / (1 − r) |
| Geometric (sum to infinity) | — | S∞ = a₁ / (1 − r) (for |r| < 1) |
| Fibonacci | Fₙ = Fₙ₋₁ + Fₙ₋₂ | No simple closed form |
| Harmonic | Hₙ = 1 / [a₁ + (n − 1)d] | Diverges (no finite sum) |
Sequences vs Series
A sequence is an ordered list of numbers that follow a particular rule. Each number in the list is called a term.
A series is the sum of the terms in a sequence.
For example, the sequence 2, 5, 8, 11 is a list of four terms. The corresponding series is
.
Unlike a set, a sequence can contain repeated values and the order of terms matters.
Arithmetic Sequences
An arithmetic sequence (also called an arithmetic progression, or AP) is a sequence in which the difference between consecutive terms is constant. This constant is called the common difference,
.
- If
is positive, the sequence is increasing (e.g. 3, 7, 11, 15, ...). - If
is negative, the sequence is decreasing (e.g. 50, 46, 42, 38, ...).
To find
, subtract any term from the one that follows it:
.
The nth Term of an Arithmetic Sequence
where
is the first term,
is the term number, and
is the common difference.
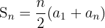
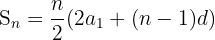
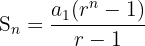
The Sum of the First n Terms of an Arithmetic Series
or equivalently:
where
is the nth (last) term.
Arithmetic Sequence Problems
The first term of an arithmetic sequence is 5 and the common difference is 3. Find the 20th term and the sum of the first 20 terms.
Find the 20th term:

Find the sum of the first 20 terms:

The 3rd term of an arithmetic sequence is 11 and the 7th term is 23. Find the first term, the common difference, and the 15th term.
Using the nth term formula:


Subtract the first equation from the second:


Substitute back to find
:


Find the 15th term:

Geometric Sequences
A geometric sequence (also called a geometric progression, or GP) is a sequence in which each term is obtained by multiplying the previous term by a constant called the common ratio,
.
To find
, divide any term by the one before it:
.
Example: In the sequence 4, 8, 16, 32, 64, ..., each term is multiplied by 2, so
.
The common ratio can also be negative. For example, in the sequence
the common ratio is
.
The nth Term of a Geometric Sequence
where
is the first term and
is the common ratio.
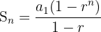
The Sum of the First n Terms of a Geometric Series
For
:
or equivalently:
The first form is more convenient when
is less than 1, and the second form is more convenient when
is greater than 1.
The Sum to Infinity of a Geometric Series
When
is less than 1 (i.e.
is less than
is less than
), the terms of the geometric sequence get smaller and smaller, and the series converges to a finite sum:
This formula is particularly important at A-Level. If
, the series diverges and has no finite sum.
Geometric Sequence Example Problems
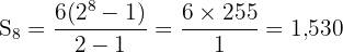
The first term of a geometric sequence is 6 and the common ratio is 2. Find the 8th term and the sum of the first 8 terms.
Find the 8th term:

Find the sum of the first 8 terms:

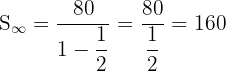
A geometric series has first term 80 and common ratio
. Find the sum to infinity.
Since
which is less than 1, the series converges:

The sum to infinity is 160.
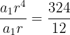
The 2nd term of a geometric sequence is 12 and the 5th term is 324. Find the first term and the common ratio.
Using the nth term formula:


Divide the second equation by the first:



Substitute back:


The first term is 4 and the common ratio is 3.
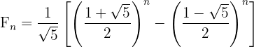
Fibonacci Sequence
The Fibonacci sequence is a special sequence in which each term is the sum of the two preceding terms. It begins with 0 and 1:
The sequence is defined recursively:
For example,
.
Binet's Formula (the nth Term)
There is also a closed-form formula for the nth Fibonacci number, known as Binet's formula:
The value
is the famous golden ratio, often denoted by
(phi). While Binet's formula is elegant, in practice the recursive definition is usually easier to work with for small values of
.
Find the 10th term of the Fibonacci sequence (where
).
Solution
Writing out the terms:
The 10th Fibonacci number is 55.
Harmonic Sequence
A harmonic sequence is formed by taking the reciprocal of each term in an arithmetic sequence. If the arithmetic sequence is
, then the corresponding harmonic sequence is:
where
and
for all terms.
Example: The sequence
is a harmonic sequence because the reciprocals — 2, 5, 8, 11, ... — form an arithmetic sequence with
.
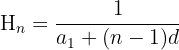
The nth Term of a Harmonic Sequence
Since the reciprocals form an arithmetic sequence, the nth term is simply the reciprocal of the nth arithmetic term:
where
is the first term of the underlying arithmetic sequence and
is its common difference.
The Harmonic Series
The sum of a harmonic sequence is called a harmonic series. The simplest harmonic series is:
An important result is that the harmonic series diverges — it has no finite sum. Even though the terms get smaller and smaller, the partial sums grow without bound (albeit very slowly). There is no neat closed-form formula for the partial sums, but for large
the sum can be approximated by
, where
is the Euler–Mascheroni constant.
Harmonic Series Example Problem
A harmonic sequence has first term
and second term
. Find the 6th term.
Solution
The reciprocals are 3 and 7, so the underlying arithmetic sequence has
and
.
The 6th term of the arithmetic sequence:
The 6th term of the harmonic sequence:
Additional Sequence Problems
An arithmetic sequence has a first term of 100 and a common difference of −7. Which term is the first to be negative?
We need
to be less than 0:
is less than 
is less than 
is less than 
is greater than 
Since
must be a whole number, the first negative term is the 16th term.
Check:
. Confirmed.
A ball is dropped from a height of 10 metres. Each time it bounces, it reaches
of its previous height. Find the total distance the ball travels before coming to rest.
The ball falls 10 m, then bounces up
m, falls 7.5 m, bounces up
m, and so on.
The total distance is the initial drop plus twice the sum to infinity of the bouncing geometric series (up and down for each bounce):
The bouncing heights form a geometric series with
and
:

Total distance = initial drop + twice the bounce sum:

The ball travels a total of 70 metres.
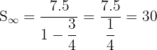
The sum of an infinite geometric series is 48 and the first term is 36. Find the common ratio.
Solution
Using the sum to infinity formula:





The common ratio is
.
Summarise with AI:








