Chapters
- Find the Intervals of Concavity and Convexity for the Following Functions:
- Exercise 1
- Exercise 2
- Exercise 3
- Exercise 4
- Exercise 5
- Exercise 6
- Exercise 7
- Exercise 8
- Exercise 9
- Exercise 10
- Exercise 11
- Exercise 12
- Solution of exercise 1
- Solution of exercise 2
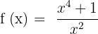
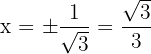
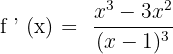
- Solution of exercise 3
- Solution of exercise 4
- Solution of exercise 5
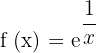
- Solution of exercise 6
- Solution of exercise 7
- Solution of exercise 8
- Solution of exercise 9
- Solution of exercise 10
- Solution of exercise 11
- Solution of exercise 12
The best Maths tutors available
Find the Intervals of Concavity and Convexity for the Following Functions:
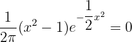
Exercise 1

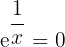
Exercise 2

Exercise 3

Exercise 4

Exercise 5

Exercise 6

Exercise 7

Exercise 8

Exercise 9

Exercise 10

Exercise 11

Exercise 12

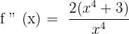
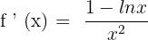
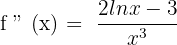
Solution of exercise 1




Convex:
Concave:
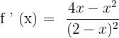
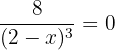
Solution of exercise 2




Concave:
Convex:
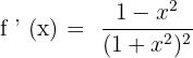
Solution of exercise 3





Convex:
Concave:
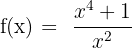
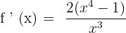
Solution of exercise 4





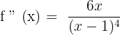
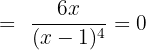
Convex:
Solution of exercise 5




No solution
Convex:
Concave:
Solution of exercise 6






Convex:
Concave:
Solution of exercise 7




No solution
Concave:
Solution of exercise 8





Inflection points: ,
Convex:
Concave:
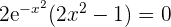
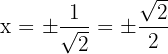
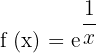
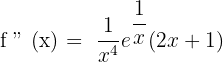
Solution of exercise 9




No solution
Convex:
Concave:
Solution of exercise 10





Convex:
Concave:
Solution of exercise 11






Convex:
Concave:
Solution of exercise 12







Convex:
Concave: