A geometric sequence is a sequence of numbers where each term is found by multiplying the previous term by a constant ratio. These sequences appear often in math problems involving growth, decay, finance, and patterns.
We’ll explore common types of geometric sequence problems and walk through their step-by-step solutions to help you understand the concepts and apply them with confidence.
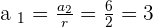
The second term of a geometric sequence is
, and the fifth term is
. Determine the sequence.
The second term of a geometric sequence is
, and the fifth term is
. Determine the sequence.






3, 6, 12, 24, 48, ...
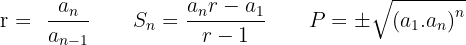
The 1st term of a geometric sequence is
and the eighth term is
. Find the common ratio, the sum, and the product of the first
terms.
The 1st term of a geometric sequence is
and the eighth term is
.
Find the common ratio, the sum, and the product of the first
terms.





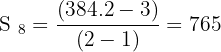
Compute the sum of the first
terms of the sequence: 
Compute the sum of the first 5 terms of the sequence: 

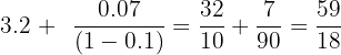
Calculate the sum of the terms of the following geometric sequence:

Calculate the sum of the terms of the following geometric sequence:


Calculate the product of the first 5 terms of the sequence: 

John has purchased
books. The 1st book costs 1 dollar, the 2nd, 2 dollars, the 3rd, 4 dollars, and the 4th, 8 dollars, and so on. How much did John pay for the 20 books?
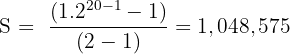
John has purchased
books. The 1st book costs 1 dollar, the 2nd, 2 dollars, the 3rd, 4 dollars, and the 4th, 8 dollars, and so on. How much did John pay for the 20 books?


dollars
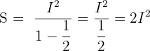
The sides of a square, l, have lines drawn between them connecting adjoining sides with their midpoints. This creates another square within the original and this process is continued indefinitely. Calculate the sum of the areas of the infinite squares.
The sides of a square, l, have lines drawn between them connecting adjoining sides with their midpoints. This creates another square within the original, and this process is continued indefinitely. Calculate the sum of the areas of the infinite squares.




Calculate the fraction that is equivalent to 

Calculate the fraction that is equivalent to 



Summarise with AI:

I have math qstn problm
Break even point