Chapters
Absolute has more purpose than keeping the value of a function positive. It can transform a function into a piecewise function. To understand how absolute value function can turn into a piecewise function, you need to have a clear understanding of the absolute function and piecewise function. That is why, in this resource, we will cover the basics of absolute value and piecewise function and then how an absolute value function becomes a piecewise function.
Absolute Value Function
An absolute value function is a function that has an algebraic expression within the modulus. The modulus is a symbol of the absolute value function. Mathematicians use absolute functions to keep the value positive. There are some things that can't be a negative entity such as matter, volume, space, time, etc. To keep them in the positive range, mathematicians use the absolute value function. They are written like this: 
Piecewise Function
Some functions behave differently with different inputs. It means that the function has some breakage point. From that point, the function behaves differently. However, we can't break the function but we can assume that the function works differently under those inputs. To solve that, mathematicians came up with a solution and that is to call it a piecewise function. A piecewise function is a type of function that is constructed on a sequence of intervals. For example, 
Absolute Value Function to Piecewise Function
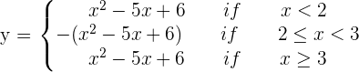
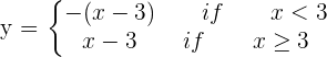
Having a modulus on an algebraic function means that all the values of y will be positive. However, this doesn't mean that all the values of x will also be positive. We can present it into a piecewise function. An Absolute value functions become piecewise functions by following these steps:
STEP NO.1
Make the function equal to zero, without the absolute value and calculate their roots.
STEP NO.2
Form intervals with the roots and evaluate the sign of each interval.
STEP NO.3
Define the piecewise function, taking into account that the sign needs to be changed in the intervals where x is negative.
STEP NO.4
Graph the resulting function.
Examples






Summarise with AI:









I have math qstn problm
Break even point