Chapters
- Calculate the Maximums and Minimums of the Following Functions:
- Exercise 1
- Exercise 2
- Exercise 3
- Exercise 4
- Exercise 5
- Exercise 6
- Exercise 7
- Solution of exercise 1
- Solution of exercise 2
- Solution of exercise 3
- Solution of exercise 4
- Solution of exercise 5
- Solution of exercise 6
- Solution of exercise 7
The best Maths tutors available
Calculate the Maximums and Minimums of the Following Functions:
Exercise 1

Exercise 2

Exercise 3

Exercise 4

Exercise 5

Exercise 6

Exercise 7

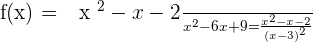
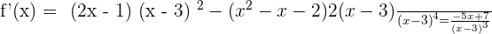
Solution of exercise 1










Solution of exercise 2









Solution of exercise 3


















Solution of exercise 4







Solution of exercise 5











Solution of exercise 6

Solution of exercise 7
