Chapters
The best Maths tutors available
Calculate the Inflection Points of the Following Functions:
Exercise 1
Exercise 2
Exercise 3
Exercise 4
Exercise 5
Exercise 6
Solution of exercise 1
Inflection point : (0,2)
Solution of exercise 2
Inflection point (0,0)
Solution of exercise 3
Points of Inflection

Solution of exercise 4
Inflection point (2, -5)
Solution of exercise 5
Inflection points: (1, -1), (-1, -1)
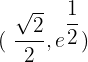
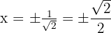
Solution of exercise 6
Inflection points:

Summarise with AI:









Nice to see what you have provided.IT helps me a lo in my engineering mathematics.
i love it mwaaaaa :*