Chapters
- Calculate the Intervals of Increase and Decrease for the Following Functions:
- Exercise 1
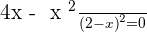
- Exercise 2
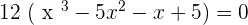
- Exercise 3
- Exercise 4
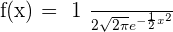
- Exercise 5
- Exercise 6
- Exercise 7
- Exercise 8
- Exercise 9
- Exercise 10
- Exercise 11
- Exercise 12
- Exercise 13
- Exercise 14
- Exercise 15
- Exercise 16
- Exercise 17
- Solution of exercise 1
- Solution of exercise 2
- Solution of exercise 3
- Solution of exercise 4
- Solution of exercise 5
- Solution of exercise 6
- Solution of exercise 7
- Solution of exercise 8
- Solution of exercise 9
- Solution of exercise 10
- Solution of exercise 11
- Solution of exercise 12
- Solution of exercise 13
- Solution of exercise 14
- Solution of exercise 15
- Solution of exercise 16
- Solution of exercise 17
The best Maths tutors available
Calculate the Intervals of Increase and Decrease for the Following Functions:
Exercise 1

Exercise 2

Exercise 3

Exercise 4

Exercise 5

Exercise 6

Exercise 7

Exercise 8

Exercise 9

Exercise 10

Exercise 11

Exercise 12

Exercise 13

Exercise 14

Exercise 15

Exercise 16

Exercise 17

Solution of exercise 1






Increasing:

Decreasing:

Solution of exercise 2








Increasing:
Decreasing:
Solution of exercise 3











Increasing:
Decreasing:
Solution of exercise 4





After solving the cubic equation, we will get:
{}^{}
Increasing:
Decreasing:
Solution of exercise 5






Increasing:
Decreasing:
Solution of exercise 6












No solutions in
Decreasing:
Solution of exercise 7





Increasing:
Decreasing:
Solution of exercise 8



Increasing:
Decreasing:
Solution of exercise 9




Increasing:
Decreasing:
Solution of exercise 10






Increasing:
Decreasing:
Solution of exercise 11





Hence we got no solution

Increasing:
Solution of exercise 12





Increasing:
Solution of exercise 13






Increasing:
Decreasing:
Solution of exercise 14




Both solutions can't be solved
Decreasing:
Solution of exercise 15




is the only possible solution
Increasing:
Decreasing:
Solution of exercise 16


is the only possible solution
Increasing:
Decreasing:
Solution of exercise 17






Increasing:
Decreasing: