How to Find Maxima and Minima
To find the local maxima and minima of a function
, follow these steps:
Step 1 — Find the first derivative
.
Step 2 — Set
and solve for
. These are the stationary points (also called critical points).
Step 3 — Find the second derivative
.
Step 4 — Classify each stationary point using the second derivative test:
- If
, the point is a local minimum. - If
, the point is a local maximum. - If
, the test is inconclusive — use the first derivative (sign change) test instead.
Step 5 — Find the y-coordinates by substituting each
-value back into the original function
.
Worked Problems and Solutions
Exercise 1: 
Solution of Exercise 1
First derivative:

Set
:




Second derivative:

Classify:
At
:
> 0, so this is a local minimum.
At
:
< 0, so this is a local maximum.
Y-coordinates:


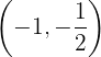
Conclusion: Local maximum at
. Local minimum at
.
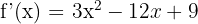
Exercise 2: 
Solution of Exercise 2
First derivative:

Set
:


Second derivative:

Classify:
At
:
< 0, so this is a local maximum.
At
:
> 0, so this is a local minimum.
Y-coordinates:


Conclusion: Local maximum at
. Local minimum at
.
Exercise 3: 
Solution of Exercise 3
First derivative:

Set
:



Second derivative:

Classify:
At
:
< 0, so this is a local maximum.
At
:
> 0, so this is a local minimum.
At
:
> 0, so this is a local minimum.
Y-coordinates:



Conclusion: Local maximum at
. Local minima at
and
.
Exercise 4: 
Solution of Exercise 4
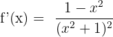
First derivative (using the quotient rule):

Set
:
The denominator is always positive, so set the numerator equal to zero:


Classify using the first derivative sign test:
For
: we have
> 0 and
< 0. The derivative changes from positive to negative, so this is a local maximum.
For
: we have
< 0 and [latex]f'(0) = 1[/latex] > 0. The derivative changes from negative to positive, so this is a local minimum.
Y-coordinates:


Conclusion: Local maximum at
. Local minimum at
.
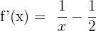
Exercise 5: 
Solution of Exercise 5
First derivative:

Set
:



Second derivative:

Classify:
At
:
< 0, so this is a local maximum.
At
:
> 0, so this is a local minimum.
Y-coordinates:


Conclusion: Local maximum at
. Local minimum at
.
Exercise 6: 
Solution of Exercise 6
First derivative (using the product rule):

Set
:
Since
> 0 for all
, we need:


Second derivative:

Classify:
At
:
< 0, so this is a local maximum.
Y-coordinate:

Conclusion: Local maximum at
. There are no local minima.
Exercise 7: 
Solution of Exercise 7
Note: The domain is
> 0.
First derivative:

Set
:


Second derivative:

Classify:
At
:
< 0, so this is a local maximum.
Y-coordinate:

Conclusion: Local maximum at
. There are no local minima on the domain
> 0.
Summarise with AI:









Nice to see what you have provided.IT helps me a lo in my engineering mathematics.
i love it mwaaaaa :*